PRODUCT CENTER

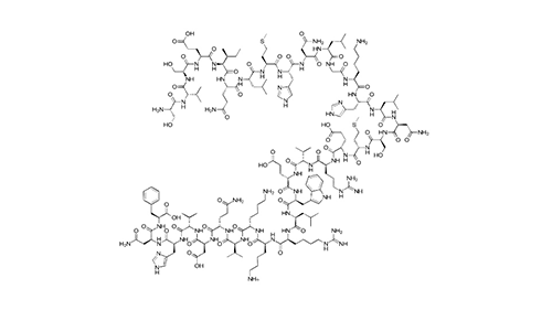
TERIPARATIDE

Indication: Osteoporosis
CAS No.:52232-67-4
Molecular formula: C181H291N55O51S2
  • Detailed Description
url : https://en.rltbio.cn/product/262.html
Keywords :

Copyright  ©  ReaLi Tide Biological Technology ( Weihai ) Co.,Ltd. Some images and text are sourced from the internet. If there is any infringement, please contact us for removal. 

在线客服

online service

Hello, I am the online customer service

X